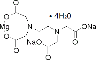
中文名稱 : EDTA二鈉鎂四水物
其他中文名稱 : 乙二胺四乙酸二鈉鎂鹽四水物;乙二胺四乙酸鎂二鈉鹽四水物; (OC-6-21)-[[N,N’-1,2-乙二基雙[N-(羧基甲基)甘氨酸合]](4-)-N,N’,O,O’,O,N,O,N’-鎂(2-)二鈉鹽;EDTA鎂鈉鹽
英文名稱 : EDTA-MgNa2
其他英文名稱 : Ethylenediaminetetraacetic acid disodium magnesium salt tetrahydrate;EDTA magnesium disodium tetrahydrate
C A S : 29932-54-5
C10H12N2Na2MgO8·4H2O=430.56
級 別 : CP
含 量 : 98.5~101.0%
澄清度試驗 : 合格
鐵 : ≤0.002%
重金屬 : ≤0.001%
性 狀 : 白色結(jié)晶性粉末。易潮解。溶于水和酸,微溶于乙醚
用 途 : 生化研究。絡合劑,測定鋼鐵中鎳、絡、錳離子(用于取代滴定)。
保 存 : RT
購物車
幫助
021-54845833/15800441009
